重庆市医疗保障局关于印发
《重庆市药品交易采购挂网工作细则(试行)》的通知
渝医保发〔2021〕13号
各区县(自治县)医保局,两江新区社会保障局、高新区政务服务和社会事务中心、万盛经开区人力社保局,有关医疗机构,有关企业,重庆药品交易所公司:
现将《重庆市药品交易采购挂网工作细则(试行)》印发给你们,请遵照执行。
重庆市医疗保障局
2021年2月25日
(此件公开发布)
重庆市药品交易采购挂网工作细则(试行)
为贯彻落实国家关于深化医疗保障制度改革的各项决策部署,深化医药服务供给侧改革,完善药品交易采购机制,保障群众获得优质实惠的医药服务,根据《重庆市人民政府办公厅关于完善药品交易采购机制的实施意见》(渝府办发﹝2020﹞134号)要求,结合实际,特制定本细则。
一、适用范围
(一)本细则适用于全市公立医疗机构(含驻渝部队医疗机构);经药品监督管理部门批准的药品上市许可持有人、药品上市许可持有人委托的药品生产企业和视同生产企业的进口药品全国总代理(以下简称生产企业);经药品监督管理部门批准的药品经营企业。
(二)全市公立医疗机构(含驻渝部队医疗机构)使用药品应通过重庆药品交易所等采购平台(以下简称平台)采购,生产、经营企业在全市公立医疗机构销售的药品须通过平台挂网销售。
(三)鼓励非公立医疗机构和药店通过平台采购,逐步推进非公立医疗机构和药店等医保基金支付的药品全部通过平台采购。
二、药品挂网价格规则
(一)集中带量采购药品挂网价格。按照国家和我市组织药品集中带量采购中选结果,中选企业按中选价格通过平台挂网,医疗机构不再议价。
(二)议价采购药品挂网价格。市医保部门组织议价采购的医保药品,议价成功的企业按照议价结果直接挂网,供全市各级医疗机构交易采购,执行周期内,医疗机构不得再次议价。医疗机构自行或联合其他医疗机构开展议价的非医保目录药品,成交价不高于平台挂网价。
(三)限价挂网药品价格。生产企业按要求向平台提交申报价格等信息,挂网价格不高于该产品在全国其他省级采购平台现执行的最低挂网价(注射剂以制剂包装单元计,如支/瓶/袋,其他剂型药品以最小零售包装单元计)。
生产企业同通用名剂型包装规格在全国其他省无价格的,选同生产企业同通用名同剂型其他产品差比价后取最低价挂网;同生产企业无相关价格的,选同通用名同剂型同挂网分组其他生产企业各包装规格的平台挂网价格差比价后取均价,计算挂网价格。同通用名剂型挂网分组药品在全国其他省级平台无价格且不适用差比价的,以产品信息挂网,生产企业自主报价与医疗机构议价成交,生产企业应在全国其他省级采购平台产生最低挂网价格1个月内,向平台申报价格信息并纳入限价挂网。同生产企业同通用名同剂型挂网药品制剂规格不得超过3个(调节水、电解质及酸碱平衡药或因含量差异适应症不同的药品除外)。
属于下列情况药品挂网价格,不高于该产品全国其他省级平台现执行的最低挂网价,同时满足相关限价挂网采购的条件:在协议期内与国家谈判药品有同通用名药品上市的,其申报价格不高于国家谈判确定的医保支付标准;参比制剂和通过质量和疗效一致性评价的仿制药(含化学药品新注册分类批准药品和纳入《中国上市药品目录集》的药品),申报价格不高于对应原研药在全国其他省级平台现执行的最低挂网价;未通过一致性评价的仿制药,申报价格不高于同通用名已通过一致性评价仿制药和对应原研药挂网价格。
(四)备案采购药品挂网价格。确因临床必需,未在平台挂网且挂网药品无替代的药品,由医疗机构履行相关备案程序,通过平台备案采购系统填报与生产企业议定的采购单价等信息,网上采购及结算。
(五)其他采购药品挂网价格。
1.国家谈判药品。在协议期内按国家谈判的医保支付标准直接挂网,医疗机构不得再次议价。协议到期后按相应类别进行挂网价格的确定。
2.国家定点生产药品和市级定点采购药品。按国家和我市有关政策规定直接挂网采购,医疗机构不得再次议价。
3.短缺药品清单中的药品(除集中带量采购和集中议价以外),由生产企业自主报价,直接挂网,医疗机构自主采购。
4.麻醉药品、精神药品、疫苗及中药饮片,按国家现行价格管理政策规定通过平台采购,操作事宜另行通知。
三、规范挂网程序
(一)限价挂网药品挂网。
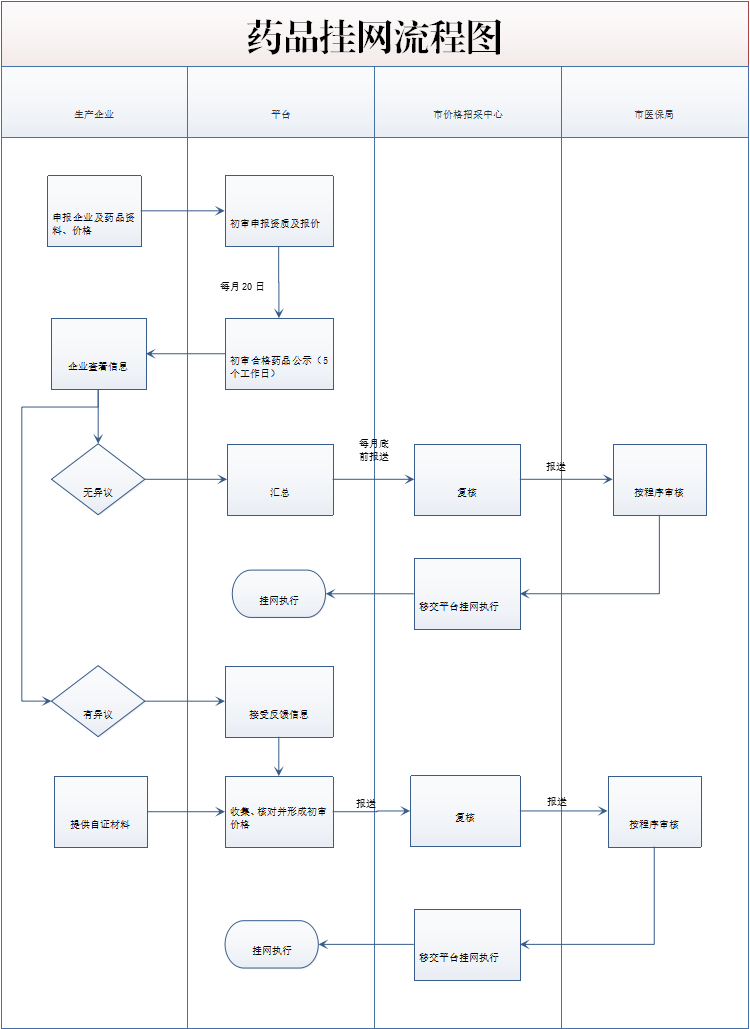
1.新增药品申报流程。新进入重庆交易采购的药品,生产企业须通过平台申报企业资质信息、药品资质及价格信息,平台对相关资质及报价进行初审,初审合格的药品于每月20日通过平台公示5个工作日,公示无异议后于每月底前报送重庆市医药价格和招标采购监督指导中心(以下简称市价格招采中心),如公示期间有异议,平台收集、核对并形成初审价格后报市价格招采中心。市价格招采中心复核报市医保局按程序审批后移交平台挂网执行。
2.定期调整。适用于符合限价挂网条件的所有药品。平台集中进行调整,调整方案按程序审批后实施,原则上1年调整不少于1次,平台每年12月底前完成限价挂网药品挂网价格的动态调整工作,挂网价格调整后平台应公示5个工作日。挂网价格调整后低于有效合同价的,自新的挂网价格执行之日起,合同价自动更新为新的挂网价格。挂网价格调整后高于有效合同价的,生产企业与医疗机构可以协商重新签订合同或继续执行原合同。
3.政策调整。国家或市医保局发布或调整价格招采政策的药品,按照相关政策进行调整。
(二)集中带量采购等药品挂网。
集中带量采购、议价采购、国家谈判和短缺等其他采购药品,申报资料、流程参照新增药品挂网,挂网价格按照国家或市医保局发布的政策进行调整。
(三)挂网分组。生产企业按照挂网分组递交申报药品资料,药品挂网分组具体分为:第一挂网分组包括创新药、专利药、原研药品、参比制剂和通过质量和疗效一致性评价的仿制药、化学药品新注册分类批准药品和《中国上市药品目录集》中收录的药品;除第一挂网分组以外的药品为第二挂网分组。平台以国家相关文件和生产企业提交的证明文件为依据(具体要求详见附件1),组织完成药品挂网工作。对公示的药品信息及挂网药品的资质、价格等信息存在异议的,平台根据相关规则予以处理。
(四)暂停和终止挂网。生产企业因故导致暂时不能保障药品供应的,出具相关证明材料并解除所有有效合同后,可申请暂停挂网。生产企业因故无法生产,不再销售的产品,出具相关证明材料并解除所有有效合同后,可申请终止挂网。因产品资质到期或挂网后一年及以上无交易、交易监测中发现违规行为等情况,平台有权暂停其挂网;因产品资质注销、生产企业挂网资格被取消等,平台有权终止其挂网。暂停或终止挂网,造成的损失和影响由生产企业自行承担。
已终止挂网的和挂网时间不满一年申请暂停挂网的药品,自生效之日起两年内,生产企业不得重新申请挂网。确因临床使用需要,须由生产企业提出申请,经平台核实并报市医保部门批准后恢复挂网,国家或重庆市发布的急(抢)救、短缺药品除外。
四、重大疫情药品挂网采购
在突发疫情等重大紧急情况时,按照“特事特办”原则,纳入疫情或紧急治疗目录范围的药品,以优先保障供应为目的,临时放开挂网价格管理机制,实行生产企业或委托经营企业自主报价直接挂网,确保生产企业不因挂网限制政策问题影响挂网,确保医疗机构不因疫情防控药品未及时挂网影响采购和使用。开展疫情防控药品价格应急监测,及时预警药品价格,防止疫情用药不合理涨价和其他药品“搭车涨价”等行为;持续跟踪供应异常变动、供应短缺等情况,及时会同相关部门处理。根据疫情用药的市场供应变化情况,疫情或紧急治疗目录范围药品可适时调整挂网采购。
五、组织实施
完善药品交易采购挂网工作是深化我市药品集中采购制度改革的重要举措,涉及药品生产企业、经营企业、医疗机构等多方利益调整,政策性强,各单位要切实加强领导,明确责任分工,协同配合,确保改革平稳实施。市医保局统筹全市药品交易采购挂网工作。重庆药品交易所做好平台交易采购操作工作。各医疗机构按照相关采购管理规定,做好药品采购使用工作。
六、附则
(一)在执行过程中,如遇国家政策变化,按新的规定执行。此前我市有关药品集中交易采购规定与本细则不一致的,以本细则为准。未尽事宜适时补充。
(二)重庆医用耗材交易采购挂网参照执行。
(三)本细则的解释权归市医保局。
附件:1.生产企业挂网报价须知
2.药品挂网流程图
附件1
生产企业挂网报价须知
集中带量采购、医保目录药品议价采购、国家谈判、定点生产(采购)等确定了采购价格的药品,生产企业应按要求及时以正式公布的价格信息申报挂网价。进入重庆交易采购的限价挂网药品,须遵守以下规则。
一、省级平台最低挂网价格的内涵界定
生产企业应如实申报相同药品在全国其他省级平台现执行的最低挂网价格并如实提供相关挂网记录证明(调节水、电解质及酸碱平衡药包括葡萄糖氯化钠、氯化钠、复方氯化钠、葡萄糖等注射剂按包材联动价格)。同一省份有多个在执行价格的,以最低价为准。已撤销挂网或价格无效的,生产企业须提供对应价格发布机构的证明材料,经公示无异议后,不纳入限价范围。全国其他省级采购平台现执行的最低挂网价,即最低中标价格或挂网价格等价格,不含国家和省级集中带量采购药品价格,不含全国其他省级采购平台执行周期结束后未供货的价格及挂网后未供货的价格,不含福建、广东省级平台挂网价格。
(一)报价时以下情况视为相同药品。
国产药品注册证书上的药品通用名、上市许可持有人或生产企业(不含被委托生产的企业)均相同的视为相同药品。进口药品(含进口分包装)注册证号不同,但进口药品注册证上商品名和药品通用名均相同的视为相同药品;无商品名的药品,进口药品注册证上的公司名称(上市许可持有人)和药品通用名均相同的视为相同药品。
(二)最低价报价规则。
1.生产企业产品有全国其他省级平台现执行的最低挂网价格。注射剂产品生产企业按支/瓶/袋申报外省最低价,相同药品同制剂规格存在包装数量差异的,外省价格应除以相应的包装数量换算为支/瓶/袋的价格后,选择最低价申报。其他剂型产品,生产企业按相同药品的最小零售单位申报价格,相同药品同制剂规格包装数量相同的,直接申报其外省最低价格;相同药品同制剂规格包装数量不同的,应通过简单乘除,与申报药品换算为同包装数量的价格后选择最低价申报挂网价。
2.生产企业产品无全国其他省级平台现执行的最低挂网价格。相同药品无同制剂规格价格的,生产企业应申报其他各制剂规格的全国最低价,按照差比价计算方法换算为申报制剂规格药品的挂网价格,生产企业确认后挂网。同生产企业无相关价格的,选同通用名同剂型同挂网分组其他生产企业各包装规格的挂网价格差比价后取均价,计算挂网价格,企业确认后挂网。
二、生产企业自报价为挂网价格的情况
在全国其他省级平台无价格且不适用差比价的,国家和市级卫生健康部门公布的《短缺药品清单》和突发疫情用药的品种,生产企业自主报价挂网药品的自报价即为挂网价,企业应遵从诚实信用原则,基于成本合理报价,接受社会监督,必要时企业须提供出厂及流通环节发票备查。
上述价格均以人民币计价,四舍五入保留2位小数。
三、挂网药品提供基本材料
(一)企业填报《医药企业价格和营销行为信用承诺书》《重庆市城镇职工基本医疗保险药品目录品种维护申请书》的扫描件。
(二)药品注册证书、药品再注册批准通知书(药品再注册、补充申请批件等)和药品标准的扫描件、药品说明书原件的扫描件及电子档、药品外包装实物图的扫描件。进口药品需提交上市许可持有人出具的全国总代理协议书扫描件。委托生产药品需提交委托生产批件。
(三)涉及的外文材料除提供原件扫描件外,还须提供经公证的中文翻译件,凡未提交经公证的中文翻译件的,视为未提交相关材料。
四、申报创新药符合的范围并提供的材料
创新药为自2020年7月1日起施行的《药品注册管理办法》批准的中药创新药、化学药创新药、生物制品创新药。企业须提供国家药品监督管理局批准有关批件等证明材料。
五、申报为专利的药品符合的范围并提供的材料
(一)专利药品申报范围:指国家知识产权局授予的保护期内的或原研制国家知识产权保护部门授予的保护期内的化合物、药物组合物、天然提取物、微生物及其代谢物的发明专利。不包括外观设计专利、实用新型专利或工艺流程、疗效、制备方法等专利药品。
1.化合物专利:为新化合物专利,在权利要求书中应当有化合物的名称、结构或分子式等关键表征,保护的对象是化合物本身,不包括权利要求书中记载的化合物与现有技术相对比区别技术特征仅为改变或改善给药途径的化合物专利。即表示该成分为申报厂家所研发或所获得之前,未被以任何形式公开。其中,仅以结构中以增加水溶性、脂溶性、延缓或加快药物体内溶解时间等为目的的结构修饰(包括增加酸根,盐基、水合物或原有化合物晶型变化等情形),不视为规则中所指化合物专利。
2.组合物专利:指对两种或两种以上的药物有效成分组成的专利(药物复方专利),在权利要求书和专利说明书中明确表述其为组合物专利,权利要求书中记载的药物组合物成分应当和申报资料中药品说明书中记载的药物有效成分或主要成分一致,不包括权利要求书中记载的药物组合物与现有技术相对比区别技术特征仅为辅料发生变化的药物组合物。属于仅用途、剂型改变,但组方原已存在(即新用途)专利不视为规则中所指组合物专利。
3.天然提取物专利:指首次从自然界分离或提取出来的物质的保护专利,该物质结构、形态或者其它物理化学参数等应在其专利文件中被确切地表征;属于提取方法的专利不视为规则中天然提取物专利。
4.微生物及其代谢物专利:是指对细菌、放线菌、真菌、病毒、原生动物、藻类等微生物种经过筛选、突变、重组等方法得到并分离的纯培养物和其代谢物质的保护专利。
(二)专利药品须提交的证明材料。
1.药品发明专利证书、发明专利说明书、权利要求书及说明书扫描件;该发明专利的专利公告文件扫描件。
2.最近一年缴纳该发明专利年费的发票或缴费证明扫描件。
3.有国外化学药品结构专利证书并在有效期内的药品,但未获得中国化学药品结构专利证书的,参照上述要求提交证明材料并提供国内公证机关出具的公证书。
六、申报为原研药品符合的范围及提供的材料
(一)原研药品。指过了保护期的上述专利且原专利权人与药品上市许可持有人为同一企业的药品,或国家药品监督管理局发布的仿制药参比制剂目录通告中体现该药品为原研药品或上市药品目录集中收录类别为原研的药品。
(二)原研药品须提交的证明材料。企业提交该药品的原发明专利证书、发明专利说明书、专利公告文件、权利要求书及说明书扫描件。企业也可提供国家药品监督管理局发布的仿制药参比制剂目录通告或《中国上市药品目录集》体现该药品为原研药品的截图。
七、申报为参比制剂药品符合的范围及提供的材料
国家药品监督管理局发布的仿制药参比制剂目录通告或《中国上市药品目录集》体现该产品为参比制剂的药品。企业须提交在官网查询到该产品为参比制剂的截图。
八、申报通过一致性评价药品符合的范围及提供的材料
国家药品监督管理局公布的通过仿制药质量和疗效一致性评价药品的证明材料。
九、申报化学药品新注册分类批准药品符合的范围及提供的材料
2020年7月1日《药品注册管理办法》执行之前获批的药品,生产企业须提供国家药品监督管理局受理和批准注册时间均为2016年3月4日后的有效证明文件。
十、申报《中国上市药品目录集》中收录药品符合的范围及提供的材料
国家药品监督管理局发布的《中国上市药品目录集》中收录的药品。企业提供相关资料复印件及官网查询到该产品的截图。
附件2


还没有评论,来说两句吧...